はじめに
デルフト工科大学と CHAM は最近、「透明な建物における相変化材料 (PCM)蓄電池 のパフォーマンス」というタイトルの論文を発表しました [1]。この論文は、図 1 (a) に示す透明な建物において、低エネルギー使用量と良好な快適性の組み合わせがどの程度可能であるかという疑問に答えることに関する研究プロジェクト [2] の成果です。この建物は共創センター (CCC) [3] としても知られ、TU デルフト キャンパスのグリーン ビレッジにあります。この全面ガラス張りの建物は、イベントや会議センターとしてだけでなく、センサーを完備した研究室としても機能します。
PHOENICS はBFC(Body Fitted Coordinate)グリッドまたは非構造化グリッドを使用するためのオプションを提供しますが、最初のデモンストレーション ケースは、このタイプのアプリケーションに対する PARSOL の堅牢性を強調するために、非常に粗い 3D デカルト メッシュを使用して実行されました。
PCM 蓄電池は、図 1(b) に示すように、この建物に付属する空調タワーに設置されています。このタワーは、熱回収ユニット、一連の PCM プレート、および補助ヒート ポンプで構成されるシステムを通じて気候調整を提供します [4]。空調タワーのファンが建物を換気している間、熱回収ユニットは建物の下流の空気から廃熱を回収し、PCM バッテリーは供給空気の温度の振動を緩衝します [4]。
気候制御の目的の 1 つは、アクティブに制御されるパッシブ気候機能を利用して、アクティブな冷暖房をできる限り防ぐことです。これらの受動的機能には、暖房、熱回収、自動制御の自然換気、給気および還気処理ユニットに接続された PCM 蓄電池の使用のための窓を介したスマート制御された日射が含まれます。
相変化材料(PCM)
PCM は、周囲温度が融点を超えると固体から液体への相転移によって熱を蓄えます。そして、周囲温度が凝固点を下回ると、蓄えられた熱を放出します。建物の内部状態を安定させるこの循環プロセスは、エネルギーの節約と温熱快適性の向上という点で利点をもたらします。今回の研究で使用される PCM は塩化カルシウム六水和物で、図 1(c) に示すように、高密度ポリエチレン (HDPE) の長方形パネルに収納されています。PCM 蓄電池はこれらのパネル 1,170 枚に分散されており、各パネルの寸法は (高さ、長さ、幅) = (0.275、0.57、0.013) m です。図 1(b) に示すように、パネルは気候タワーの内側に積み重ねられます。各パネル間には幅 4 mm の空気チャネルがあり、強制対流によって空気がこれらのチャネルを通って駆動されます。この設置では、時折 240 人という多人数が使用する場合でも、最大 6,000 〜 10,800 m3/h の空気流量で十分な冷却が可能です。10,800 m3/h のピーク空気流量は、各 PCM パネル間の速度 2.3 m/s に相当します。PCM 蓄電池は建物に追加の冷却または加熱電力を追加し、夜間の換気によって冷却し、暖かい戻り空気によって加熱することができます。
PCM の物理的特性は次のように取得されます。液相線温度と固相線温度はそれぞれ 23 ℃と 20 ℃です。液相および固相の密度は 1000 kg/m3。液相と固相の比熱容量はそれぞれ2.1と1.4kJ/kgK。液相と固相の熱伝導率はそれぞれ0.5 W/mKと1.1 W/mK。液体の動粘度は9.6・10-6m2/s。潜熱は 310 kJ/kg です。

図 1: サイト、気候タワー、PCM アプリケーションの概要
CFDモデル
PHOENICS ベースの過渡三次元 CFD モデルは、PCM 蓄電池内の流れと熱伝達をシミュレートするために開発されました。CFD モデルは、質量、運動量、エネルギーの保存方程式を解きます。蓄電池は固体ケース内に収容された PCM の液体領域と固体領域で構成され、これらは隣接するチャネル内の空気流と共役熱伝達を受けます。PCM は、溶融体内の自然対流による溶融および凝固プロセスを受け、Voller と Prakash のエンタルピー空隙率公式を使用してモデル化されます [5]。ただし、潜熱発生の処理にはソース項ではなく有効な比熱容量を使用します。この目的のために、線形相変化が使用され、有効比熱 Cp,e が計算されます。

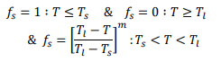
ここで、Cp は混合物の比熱、L は潜熱、fs は固体分率であり、シール方程式から求められます。

ここで、Ts と Tl は固相線温度と液相線温度であり、指数 m は 1 と見なされます。
PHOENICS の InForm 機能は、前述の相変化モデルを実装するために使用されます。PCM メルト内の浮力は、ブシネスク近似を使用してモデル化されます。そして、Kozeny-Carmen タイプのソース項を使用して流れ抵抗をモデル化します。空気通路内の乱流は、平衡壁関数を備えた標準的な k-? モデルを使用してモデル化されます。空気通路内の乱流は、平衡壁関数を備えた標準的な k-? モデルを使用してモデル化されます。PCM ケースは厚さ 0.6 mm の HDPE で作られていますが、同等の熱コンダクタンスを生成するために、厚さ 1 mm のガラスとしてモデル化されています。
計算の詳細
CFD シミュレーションに使用されるソリューション ドメインとメッシュを図 2 に示します。このドメインは PCM コンパートメントの約 1/6 を考慮しており、寸法は (x, y, z)=(0.57, 0.036, 0.05)m です。中央の 1 つの完全なパネルと両側の 2 つの半分のパネルで構成されます。したがって、図 2 の端面図では左から右に、6 mm の PCM、1 mm の固体ケーシング、4 mm の空気、1 mm のケーシング、12 mm の PCM、1 mm のケーシング、4 mm の空気、1 mm のケーシング、PCMの6mmがあり、これは、中央パネルの両側に幅 4 mm の空気チャネルが 2 つあることを意味します。使用されるメッシュには、X 方向に 30 セル、Y 方向に 36 セル、Z 方向に 20 セルがあります。

図 2: CFD ソリューションのドメインとメッシュ
システム全体の初期温度は 13.5oC で、システム全体の側面は断熱されています。後で説明するように、空気の入口速度と温度は時間とともに変化しますが、主に空気は 25℃ の温度で 0.31 m/s で各チャネルに入ります。PHOENICS シミュレーションでは、24 時間のシミュレーション時間をカバーするために 5 分の均一な時間ステップを採用しています。InForm 機能は、平均 PCM 温度と固形分率、空気チャネルへの熱伝達率、および空気出口温度の一時的な履歴を含むファイルを出力するために使用されます。
結果と考察
PHOENICS シミュレーションは、現場での測定と、一時的な 1 次元集中パラメータ モデルである簡略化された MATLAB モデルによって生成された結果の両方と比較されます。ただし、これらの比較の結果は他の場所で完全に報告されているので [1]、ここでは CFD シミュレーションのハイライトのみを示して説明します。

図 3: シミュレーション、および PCM 特性の測定結果
図 3(a) は、1 日を通して測定および予測された PCM 平均気温の変化を示しています。この図には、入口空気の温度と速度の指定された変化も含まれています。CFD モデルは PCM の熱挙動を予測するのに許容可能な精度を示していることがわかり、測定とシミュレーションの違いは次のように説明できます。CFD モデルでは、相変化エネルギーは 20 〜 23 ℃ の間で均一であると考えられており、これにより 20 〜 21 ℃ の予測温度が低くなります。実際には、図 3(b) に示すように、相変化エネルギーは温度に依存しており、相変化のピークが 22oC であることがわかります。
PCM パネルの中心面の温度等高線を図 4 に示します。各等高線プロットは、17 〜 24 時間の時間間隔内の異なる時間に表示されます。これらの等高線は、デルフトの夏のピーク日の空気条件を使用した 8 月 10 日の夜間冷却期間に対応しています。
黄色のゾーンは 20℃ を超える温度を示しているため、時間の経過とともに相変化フロント (黄色のゾーン) が冷却していることがわかります。浮力効果は、パネルの上部に大量の暖かい PCM 塊があり、底部にあるより冷たい塊を持つ等高線にも見られます。浮力効果は、パネルの上部に大量の暖かい PCM 塊があり、底部にあるより冷たい塊を持つ等高線にも見られます。
その結果、PCM 内部の固化速度は底部で速くなり、溶融速度はパネルの上部で速くなります。図 4 は、相変化が空間的に均一ではないことも強調しており、これがこれらの温度の測定に課題をもたらしています。実際にはパネルが6つの半密閉室に分かれているため、温度分布が異なります。

図 4: 時間の関数として、PCM パネルのコアを予測した温度分布
結論
PHOENICS は、PCM 蓄電池の一時的な動作とパフォーマンスをうまくシミュレートするために使用されています。現在の PCM と 20 〜 23 ℃ の間の相転移により、建物を受動的に冷却または加熱できます。PCM の加熱と冷却の効果の予測は、CFD だけでなく、PCM が相変化温度内で高エネルギー含有量を持つ固体としてのみ考慮される単純な MATLAB モデルでも可能です。後者は、建物全体のシミュレーション モデルに統合すると、比較的短い時間で 1 年全体をシミュレーションできます [4]。
モデルは、暖房シーズンに PCM に負荷をかけるために利用できる内部熱の量が限られていること、および屋外の効果的な日よけと夜間換気により必要な冷却量がそれほど高くないことを示しました。ただし、スマートな予測制御と組み合わせることで、すでに 37% の節約効果が得られます。相変化温度が 17℃ と低い PCM パネルを追加することは、エネルギー需要をさらに削減する適応策の 1 つです。
参考文献
1. Engel, P.J.W van den, Malin, M.R., Venkatesh, M.K, Araujo
Passos, L.A. de. Performance of a Phase Change-Material Battery in a Transparent Building.
Journal of Fluid Dynamics & Materials Processing. September, Vol. 19, No. 3. (2022).
2. Engel, P.J.W van den, Bokel, R.M.J, Bembrilla E., Araujo
Passos, L.A. de and Lucuere, P.G., Converge: low energy with active passiveness in a transparent highly occupied building.
REHVA 14th HVAC World Congress, Proc. CLIMA2022, Rotterdam, The Netherlands. (2022).
3. Co-Creation-Centre-and-Nonohouse.
https://www.mecanoo.nl/Projects/project/261/CoCreation-Centre-and-Nonohouse.
4. Araujo Passos, L.A de, Engel, P.J.W. van den, Baldi, S., De Schutter, B.,
Dynamic optimization of an indoor climate system with latent heat storage, heat recovery, natural ventilation and solar shadings.
Energy Conservation andManagement. {Manuscript under review}. (2022).
5. Voller, V. R., Prakash, C. A fixed grid numerical modelling methodology for convection-diffusion mushy region phasechange problems. International Journal of Heat and Mass Transfer, 30, 709?1719. DOI 10.1016/0017-9310(87)90317-6, (1987)
|